• Предмет: Алгебра
  • Автор: 4569015
  • Вопрос задан 11 лет назад

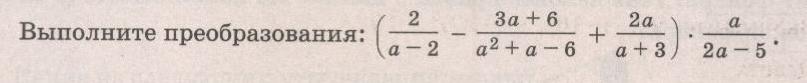
Помогите выполнить преобразование очень срочно

Приложения:

Ответы

Ответ дал: Alexаndr
0
(frac{2}{a-2}-frac{3a+6}{a^2+a-6}+frac{2a}{a+3})*frac{a}{2a-5}=(frac{2a+6-3a-6+2a^2-4a}{a^2+a-6})*frac{a}{2a-5}=frac{2a^2-5a}{a^2+a-6}*frac{a}{2a-5}=frac{a^2}{a^2+a-6}
Вас заинтересует