• Предмет: Алгебра
  • Автор: starFlower8
  • Вопрос задан 3 года назад

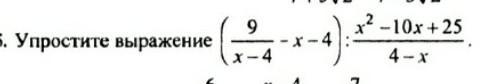
Даю 35 баллов
помогите пожалуйста

Приложения:

Ответы

Ответ дал: valeriiamurtazina
0

Ответ:

=15.3\alpha

Объяснение:

Вас заинтересует