• Предмет: Алгебра
  • Автор: Аноним
  • Вопрос задан 3 года назад

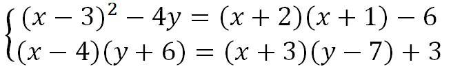
Прошу вас!!! Добрі люди!!!! Допоможіть!!! На фото лише 1 система рівнянь і все!!! Дам 20 балів або більше!!!

Приложения:

Ответы

Ответ дал: rjididjdjdjd
1

Ответ: (x,y)=(1,1)

Объяснение:


Аноним: А можна з поясненнями пжжжж
rjididjdjdjd: Там много писать, и систему я здесь не сделаю. В Play Maркете есть приложение Photomath, наведи камеру на пример и там всё будет, с шагами и так далее
Вас заинтересует