Ответы
Ответ дал:
1
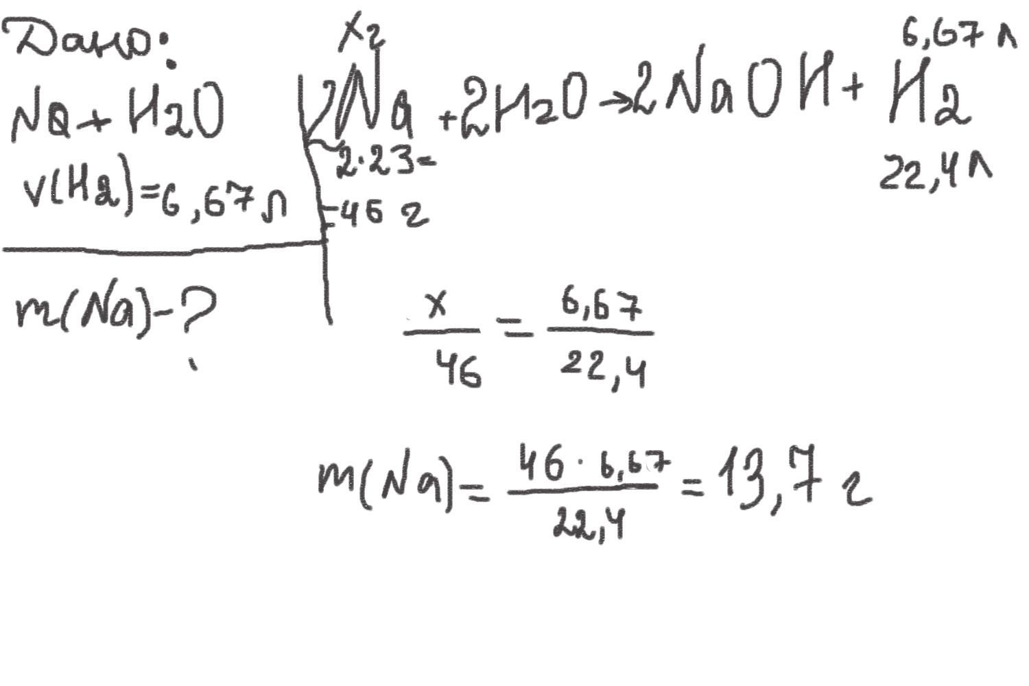
Відповідь: 13,7 г натрію
Приложения:

Вас заинтересует
2 года назад
2 года назад
2 года назад
7 лет назад
7 лет назад
9 лет назад