• Предмет: Алгебра
  • Автор: Аноним
  • Вопрос задан 3 года назад

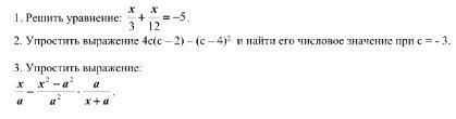
Алгебра, помогите пожалуйста с проверочной
25 баллов

Приложения:

Ответы

Ответ дал: zajkazajka472
1

Решение к первому заданию

Приложения:
Ответ дал: daniiligoshev05
1

решение и ответы на фото

Приложения:
Вас заинтересует