• Предмет: Алгебра
  • Автор: Nor1kc
  • Вопрос задан 3 года назад

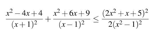
Решите пожалуйста с заменой, ПРОШУ!!! 50 баллов!

Приложения:

Ответы

Ответ дал: MrSolution
1

Ответ:

(см. прикрепленный файл)

Приложения:

MrSolution: Решение писал быстро, но ответ верный. Используйте его для того, чтобы свериться с ответом.
Nor1kc: Спасибо огромное просто, но я не понял переход между предпоследней строчкой и последней, почему -1/7?
MrSolution: По методу интервалов. Не забудьте выколоть точки и и -1.
MrSolution: 1 и -1*
Nor1kc: Спасибо просто огромное
Вас заинтересует