• Предмет: Алгебра
  • Автор: tasyakolesnik06
  • Вопрос задан 3 года назад

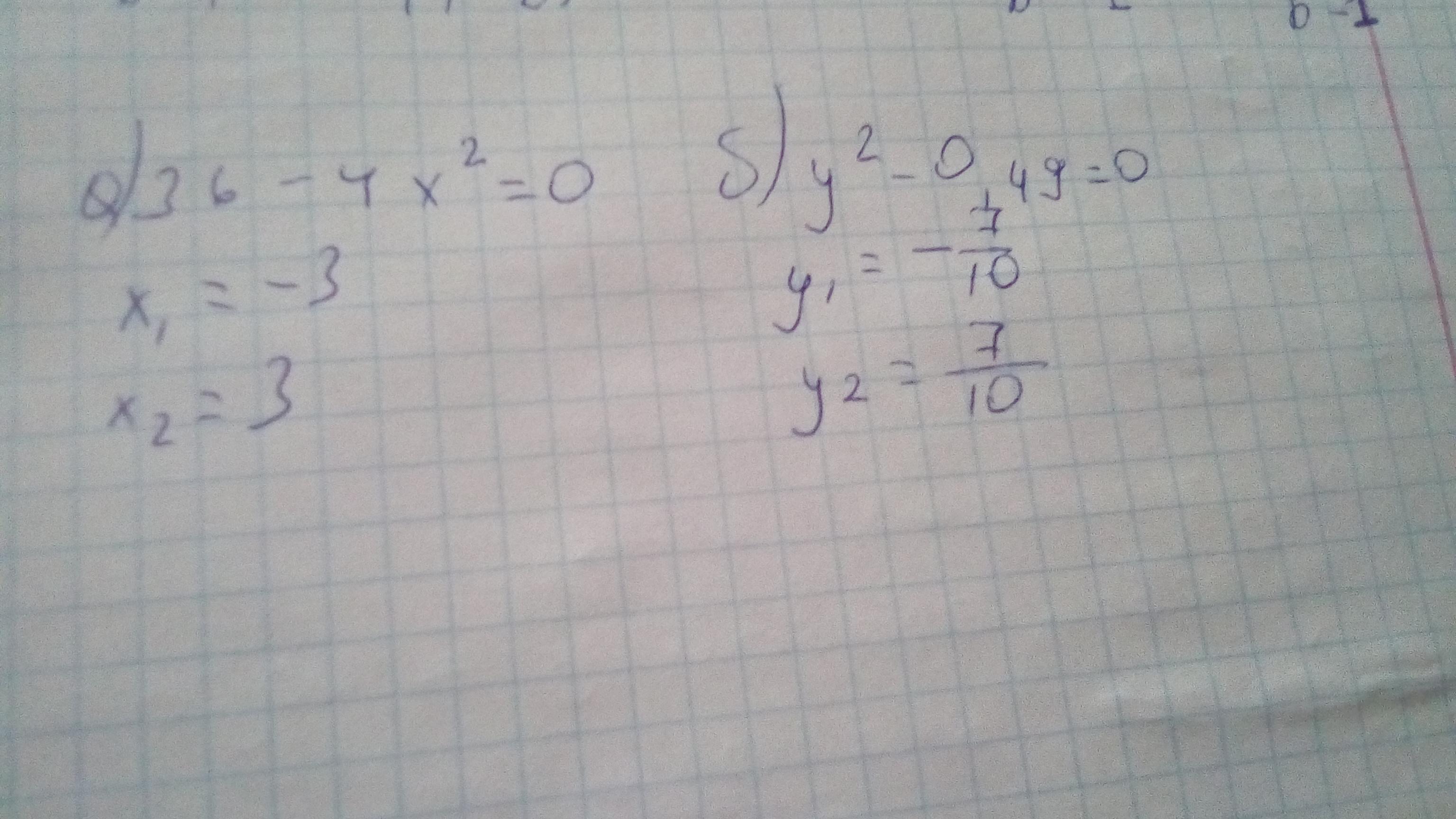
найдите корни уравнения
а) 36-4х^2 = 0
б) у^2-0,49 = 0

Ответы

Ответ дал: wnull
1

36-4x^2=0,~~~~~~~~~~~~| :4\\9-x^2=0\\-x^2=-9\\x_1=-3\\x_2=3

y^2-0,49=0\\y^2-\frac{49}{100}}=0,~~~~~~~|*100\\100y^2-49=0\\y^2=\frac{49}{100}\\y_1=-0,7\\y_2=0,7

Ответ дал: pavlukvala
1

Ответ:

Объяснен

Корені

Приложения:
Вас заинтересует