• Предмет: Математика
  • Автор: vijetuman
  • Вопрос задан 3 года назад

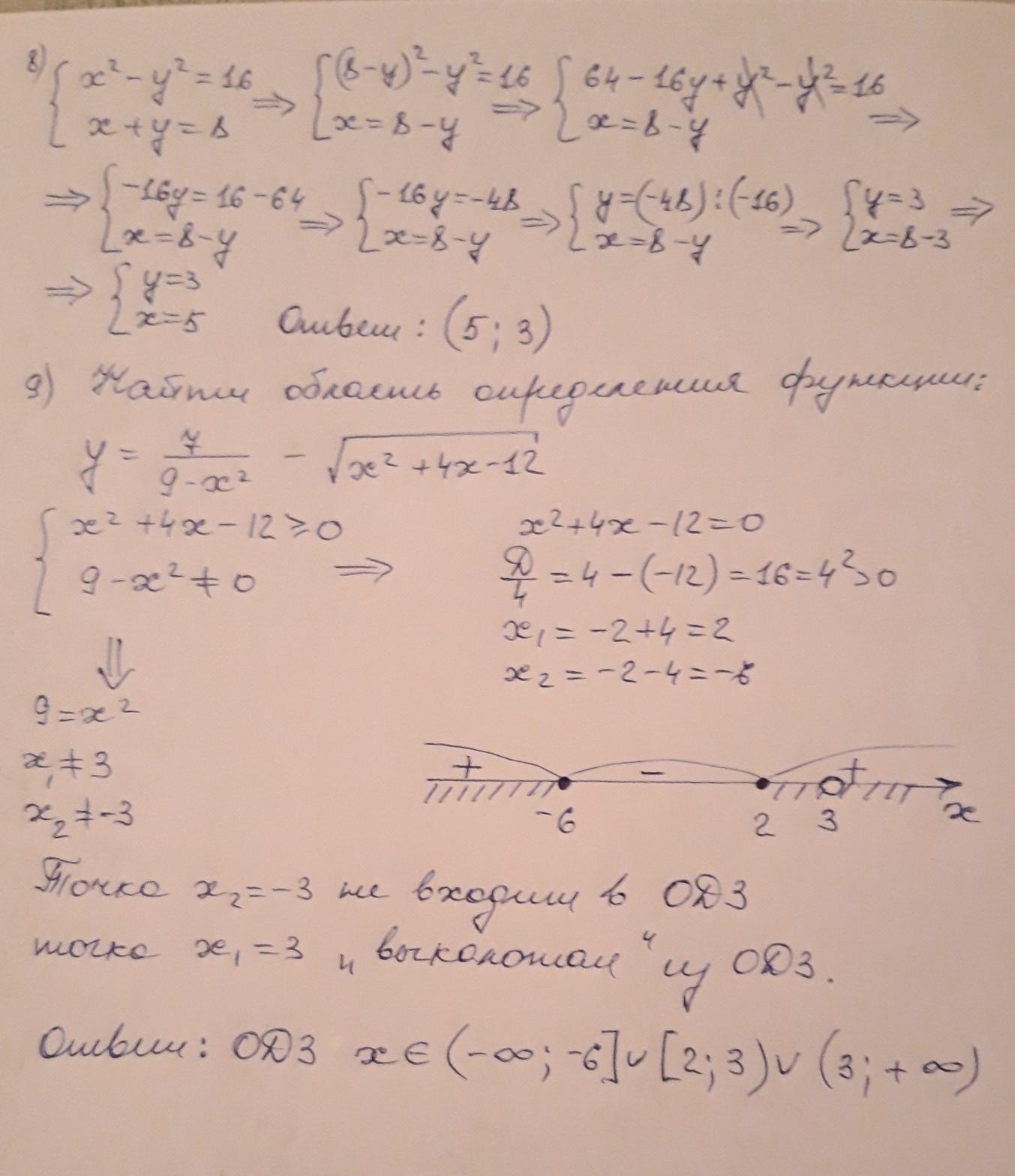
ДАЮ 70 БАЛЛОВ! ГЛАВНЫЙ МОЗГ, ПОМОГИ!

помогите кто-то, оба задания плиз, и понятно написать
(не пишите просто так, имейте совесть)​

Приложения:

Ответы

Ответ дал: sharofat0
1

Ответ:

Найти ОДЗ функции....

Приложения:

vijetuman: СПАСИБОЧКИИИ
Sholniknapat: Помогите мне пожалуйста с математикой пожалуйста умоляю
Вас заинтересует