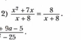
Решите уравнение х^2+7х/х+8=8/х+8
Пожалуйста помогите (там по-моему через дискриминант)

Ответы
Ответ:
1. x^2 + 7x / x + 8 = 8/x + 8
2. x^2 + 7x / x + 8 = 8 / x + 8 , x не равен -8
3. x^2 + 7x = 8
4. x^2 + 8x - x - 8 = 0
5. x * ( x + 8 ) - ( x + 8 ) = 0
6. ( x + 8 ) * ( x - 1 ) = 0
7. x + 8 = 0
x - 1 = 0
8. x = -8
x = 1 , x не равен - 8
9. x = 1
Объяснение:
1. Находим область допустимых значений.
2. Если знаменатели одинаковые, мы приравниваем числители.
3. Переносим константу в левую часть, и заменяем её знак.
4. Записываем 7x в виде разности.
5. Выносим за скобки общий множитель x.
5.1 Выносим знак минус за скобки.
6. Вынесите за скобки общий множитель x + 8.
7. Если произведение равно 0, то как минимум один из множителей равен 0.
8. Решаем уравнение относительно x.
8.1 Решаем уравнение относительно x.
9. Проверим, принадлежит ли решение этому интервалу.
10. Получаем решение.
P.s буду рад если пометишь мой ответ как лучший.