Ответы
Ответ дал:
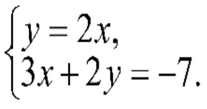
1
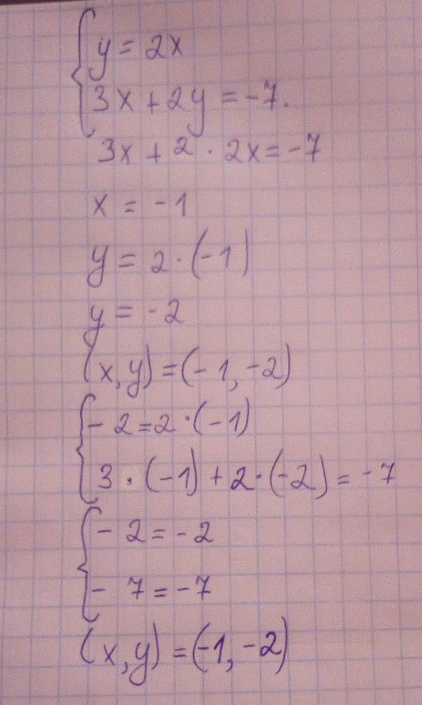
Ответ:
Решение сверху
Наверно правильно или нет
Приложения:

dmitriysolovey668:
Огромное спасибо!
Вас заинтересует
2 года назад
2 года назад
7 лет назад
7 лет назад
9 лет назад