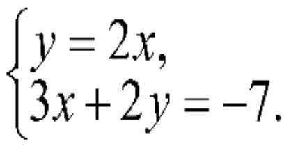
Розв’яжіть графічним способом систему рівнянь. ПОМОГИТЕ ПОЖАЛУЙСТА, ЭТО ОЧЕНЬ СРОЧНО!!!
Приложения:

Ответы
Ответ дал:
0
Ответ:
Решение сверху
Наверно правильно
Приложения:

Вас заинтересует
2 года назад
2 года назад
2 года назад
2 года назад
7 лет назад
9 лет назад