• Предмет: Алгебра
  • Автор: okhlupinadasha
  • Вопрос задан 3 года назад

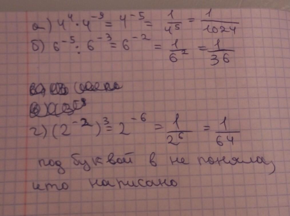
1. Вычислите:
а)4⁴ * 4⁻⁹ ;
б) 6¯⁵: 6⁻³ ;
в)(3^(-9)*9⁻⁴)/(27¯⁶) ;
г) (2¯²)³ .
2.


Ответы

Ответ дал: HunterSwiftKey
0

Ответ:

Удачи закончить учебный год на отлично

Приложения:
Вас заинтересует