пж помогите заранее спасибо
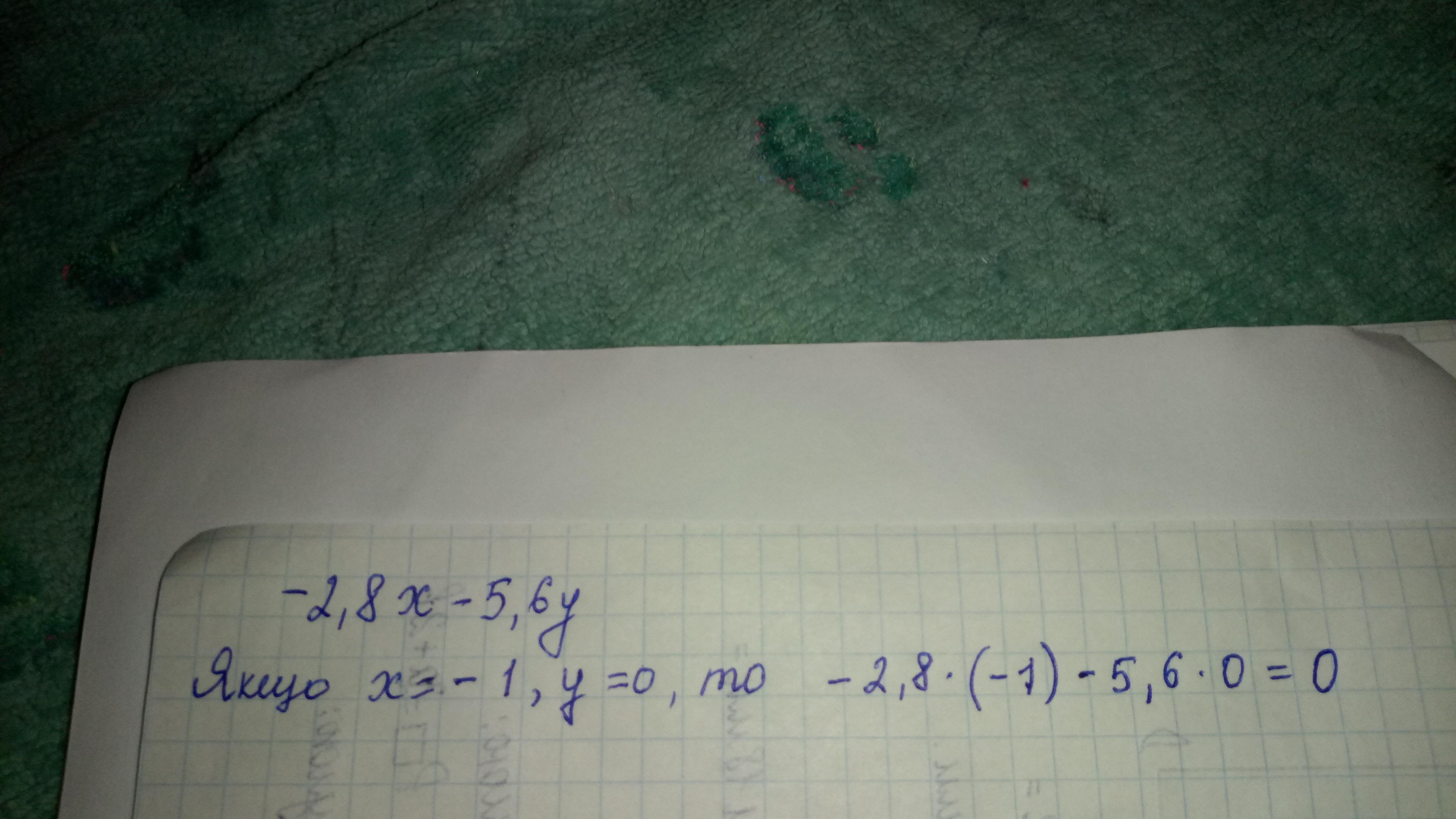
спростити вираз і знайдіть його значення 0,5(1,6x-6,4y)-2,4(1,5x+y)
якщо, x= -1; y= 0
Ответы
Ответ дал:
1
Відповідь:
Перше фото– спрощення виразу.
Друге фото– знаходження значення виразу.
Третє фото– пояснення чому саме вийшла така відповідь.
Приложения:



alexey380931:
спасибо
Вас заинтересует
2 года назад
2 года назад
2 года назад
2 года назад
7 лет назад
7 лет назад
9 лет назад