• Предмет: Алгебра
  • Автор: ftftftf0
  • Вопрос задан 3 года назад

Помогите пожалуйста решить

Приложения:

Ответы

Ответ дал: Universalka
0

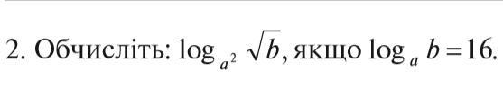
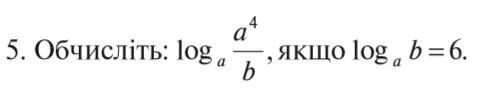
5)log_{a}\frac{a^{4}}{b}=log_{a}a^{4}-log_{a}b=4log_{a}a-6=4-6=-2\\\\2)log_{a^{2}}\sqrt{b}=log_{a^{2}}b^{\frac{1}{2}}=\frac{1}{2}log_{a^{2}} b=\frac{1}{2}log_{(a^{2})^{\frac{1}{2}}}b^{\frac{1}{2}}=\frac{1}{2}*\frac{1}{2}*log_{a}b=\frac{1}{4}*16=4

Вас заинтересует