Ответы
Ответ дал:
1
Ответ:
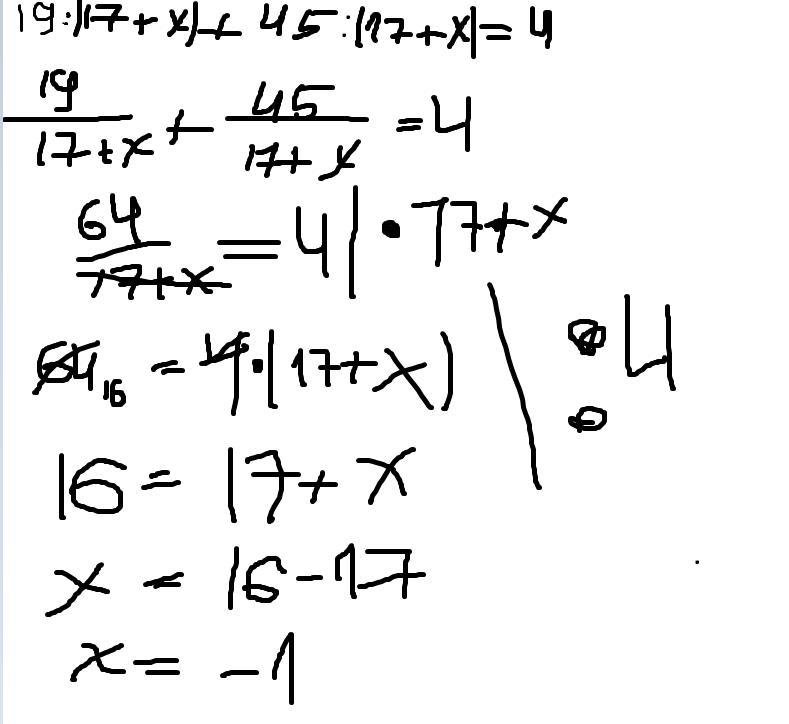
ДОПУСТИЛА ОШИБКУ В РЕШЕНИИ!!!!
ОТВЕТ НЕВЕРЕН
Пошаговое объяснение:
Приложения:

Ответ дал:
1
Надеюсь понятно также тут можно решить через дискрименант(2x в квадрате+13х-34=0) как будет удобнее
Приложения:


Вас заинтересует
2 года назад
2 года назад
2 года назад
2 года назад
7 лет назад
9 лет назад
9 лет назад