Помогите пожалуйста с алгеброй!
Приложения:

Bangtansonentan:
можно побыстрее? просто до сдачи 30 минут осталось!
Ответы
Ответ дал:
1
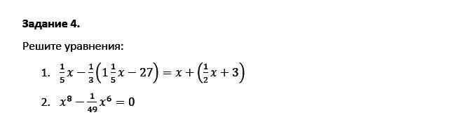
Ответ:
1.x=188
41
2.x1=0
x2=1
7
x3=-1
7
Вас заинтересует
2 года назад
2 года назад
2 года назад
2 года назад
7 лет назад
9 лет назад