• Предмет: Алгебра
  • Автор: ftftftf0
  • Вопрос задан 3 года назад

Помогите решить пожалуйста

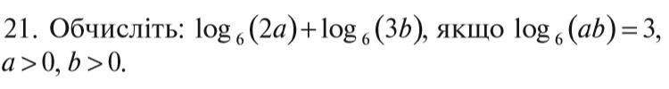
Приложения:

Ответы

Ответ дал: Аноним
0

㏒₄25=㏒₂²5²=(2/2)*=㏒₂5=а

㏒₆(2а)㏒₆(3b)=㏒₆(6аb)=㏒₆(6)+㏒₆(ab)=1+3=4

Вас заинтересует