• Предмет: Математика
  • Автор: ahiiqca
  • Вопрос задан 3 года назад

пожалуйста помогите надо сдать через 30 мин. ​

Приложения:

Ответы

Ответ дал: soalexandrovn
0

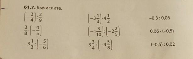
Ответ: -3,375

-0,3

4

-15

13/24

-(30/37)

-5

-0,03

25

Пошаговое объяснение:


soalexandrovn: 1. При делении дробей переворачивай одну и умножай и числитель и знаменатель
soalexandrovn: 2. Если при умножении или делении одно из чисел отрицательное, то в ответе тоже будет отрицательное число. Если оба числа отрицательные, то в ответе получится положительное
Ответ дал: yefimov2010
0

Ответ:

Ответ: -3,375

-0,3

4

-15

13/24

-(30/37)

-5

-0,03

25

не знаю правильно или нет

Пошаговое объяснение:

Вас заинтересует