• Предмет: Алгебра
  • Автор: G1rOn
  • Вопрос задан 3 года назад

Помогите срочно пожалуйста решить

Приложения:

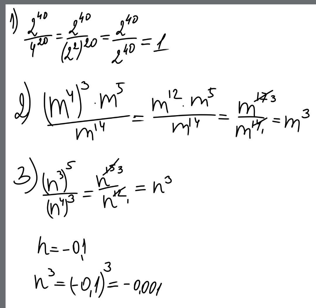
Ответы

Ответ дал: frizon
1

Ответ:

На фото.

Объяснение:

Приложения:

G1rOn: Во 2-ом примере не до конца сделано
G1rOn: там ещё m=1,1
G1rOn: Всё не надо уже
Вас заинтересует