• Предмет: Алгебра
  • Автор: xodjimurodovodilbek
  • Вопрос задан 3 года назад

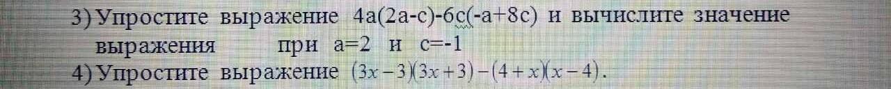
помагите!!!!!!!!!!!!!!!!!!!!!!

Приложения:

Ответы

Ответ дал: yerasyl7777
0

Объяснение:

1)4×2×(2×2+1)-6×(-1)×(-2+8×1)=87

2)не видно x=?

Вас заинтересует