• Предмет: Математика
  • Автор: rivskix
  • Вопрос задан 3 года назад

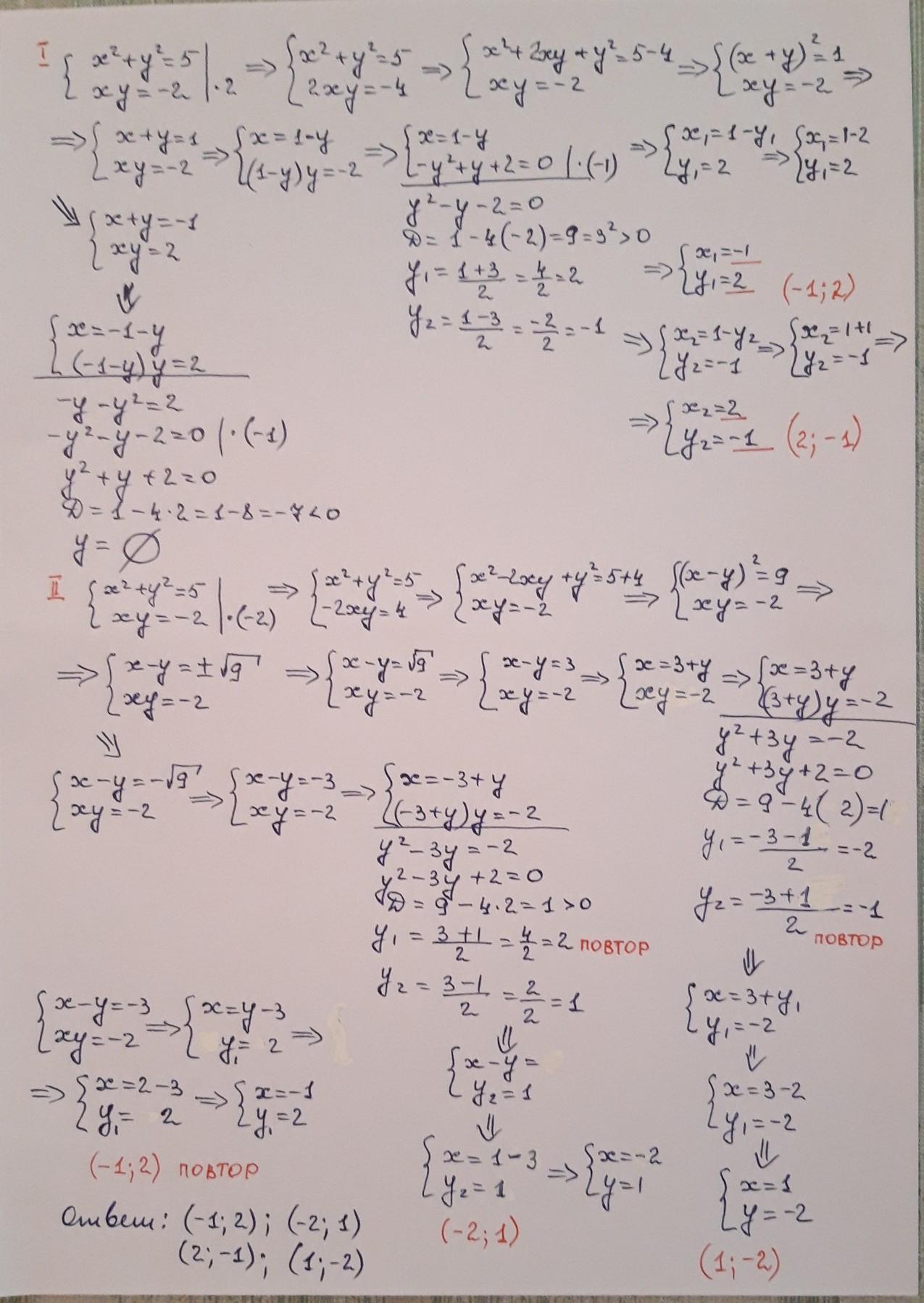
x² + y² = 5,
xy = −2;
используйте комбинацию нескольких способов, прошу​

Ответы

Ответ дал: sharofat0
0

Ответ:

1) (-1; 2)

2) (2; -1)

3) (-2; 1)

4) (1; 2) .

Система уравнений.

Комбинация неск. способов.

Приложения:
Вас заинтересует