Ответы
Ответ дал:
1
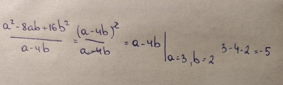
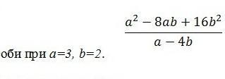
Ответ:
-5
Объяснение:
Объяснение на фото
Приложения:

Вас заинтересует
2 года назад
2 года назад
7 лет назад
9 лет назад
9 лет назад