• Предмет: Математика
  • Автор: andreyhhugdgjgdfj
  • Вопрос задан 3 года назад

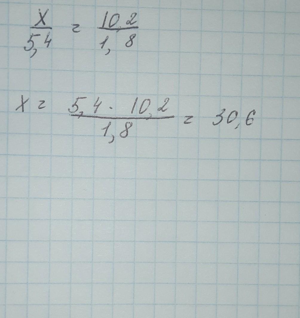
Найдите неизвестный член пропорции х : 5,4 = 10,2 : 1,8
15 баллов срочно

Ответы

Ответ дал: dedyukh1na
0

Ответ:

.................................................

Приложения:
Вас заинтересует