• Предмет: Алгебра
  • Автор: DETIRAVEDETIRAVE
  • Вопрос задан 3 года назад

Помогите
Надо решить
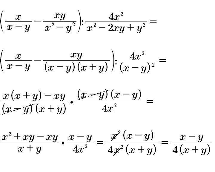
(x/x-y - xy/x2-y2): 4x2/x2-2xy+y2
Ниже есть скрин

Ответы

Ответ дал: tamarabernukho
3

Ответ:

Объяснение:

*******************

Приложения:
Вас заинтересует