Нужно записать данные два примера на языке программирования,а точнее на С++. Пожалуйста нужна ваша умная мощь

Ответы
/** libraries */
#include <iostream>
#include <cmath>
#include <vector>
#include <map>
#include <set>
#include <queue>
#include <stack>
#include <algorithm>
/** libraries */
using namespace std;
/** defines */
#define ll long long
#define ld long double
#define yes cout << "YES" << "\n"
#define no cout << "NO" << "\n"
/** defines */
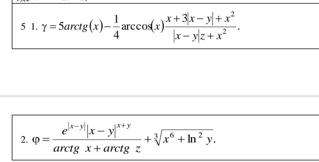
ld func1(ld x, ld y, ld z){
return 5 * atan(x) - (1/4) * acos(x) * ((x + 3 * abs(x-y) + pow(x,2))/(abs(x-y) * z + pow(x,2)));
}
ld func2(ld x, ld y, ld z){
return (pow(M_E,abs(x-y)) * pow(abs(x-y),x+y))/(atan(x)+atan(z)) + pow(pow(x,6) + pow(log(y),2),(1/3));
}
signed main() {
ios_base::sync_with_stdio(false);
cin.tie(nullptr);
cout.tie(nullptr);
ld x,y,z;
cin >> x >> y >> z;
cout << func1(x,y,z) << "\n" << func2(x,y,z);
}
P.S если я где-то косякнул по невнимательности, то пишите, исправим