• Предмет: Математика
  • Автор: VikaPark3
  • Вопрос задан 3 года назад

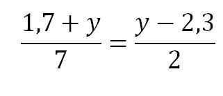
Решите уравнение!! Пожалуйста! Срочно!!

Приложения:

Ответы

Ответ дал: 123veronik
0
Скачай photomath , оно решит и распишет подробно
Вас заинтересует