• Предмет: Математика
  • Автор: bulatgaliakhmetov
  • Вопрос задан 3 года назад

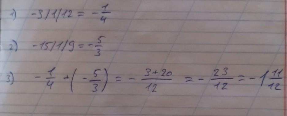
Сложи отрицательные смешанные числа
(Сначала запиши знак + или −, затем целое. Если это необходимо, дробную часть сократи):

−3/1/12+(−15/ 1/ 9)

Ответы

Ответ дал: semaua0001
1

Ответ:

тут в общем есть все пошагово

Приложения:
Вас заинтересует