Ответы
Ответ дал:
1
Ответ:
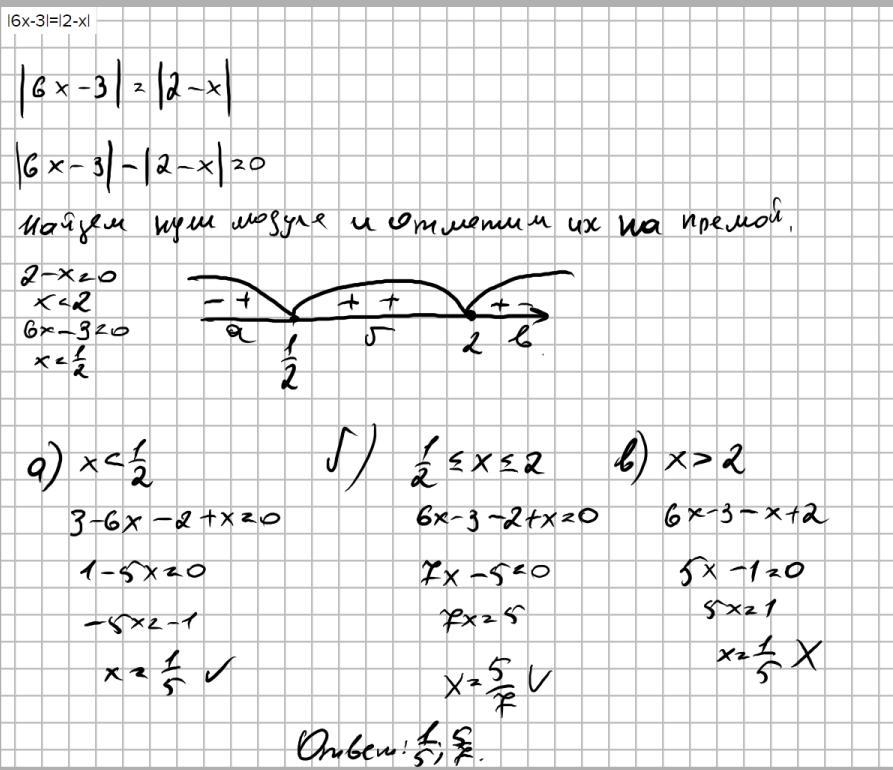
1/5 ; 5/7
Объяснение:
|6x-3|=|2-x|
6x-3=2-x 6x-3=-2+x
6x-3-2+x=0 6x-3+2-x=0
7x-5=0 5x-1=0
5x=1
x=1/5
7x=5
x=5/7
Все корни подходят ...
dasew212ilya:
Спасибо!
Ответ дал:
1
Ответ:
Объяснение:
Приложения:

Вас заинтересует
2 года назад
2 года назад
2 года назад
2 года назад
7 лет назад
7 лет назад
9 лет назад
9 лет назад