• Предмет: Алгебра
  • Автор: veronicadro
  • Вопрос задан 3 года назад

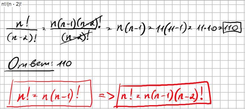
упростите n!/(n - 2)! и найдите значение выражения при n = 11

Ответы

Ответ дал: Ilyazov45
1

Ответ:

110

Объяснение:

Приложения:
Вас заинтересует