• Предмет: Алгебра
  • Автор: biezlatniaia
  • Вопрос задан 3 года назад

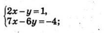
Який вираз треба підставити у друге рівняння системи, щоб розвязати її способом підстановки

Приложения:

Ответы

Ответ дал: sofidiachenko
1

Ответ:

Сфотографований вираз треба підставити у другий вираз

Приложения:
Вас заинтересует