• Предмет: Математика
  • Автор: nastyazubakina0
  • Вопрос задан 3 года назад

Расстсвте порядок действий, дам 5 баллов! ​

Приложения:

Ответы

Ответ дал: peculiarsight
1

Ответ:

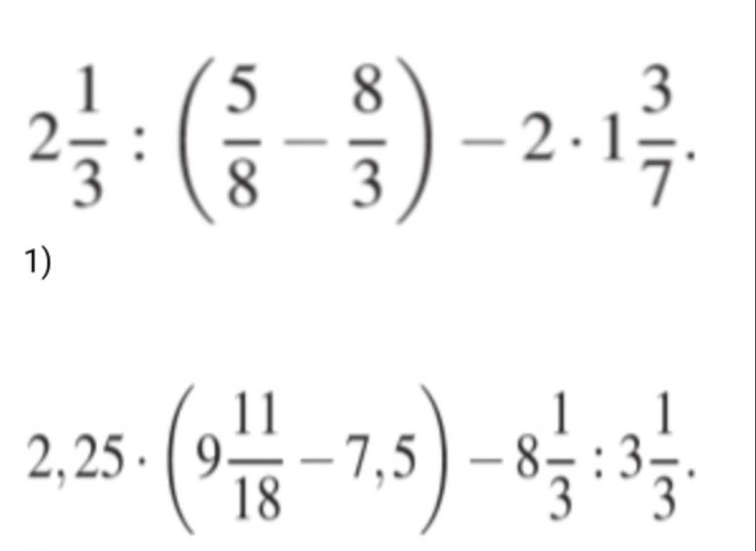
1.в скобках

2.2 1/3

3.2*1 3/7

4.то что осталось

1.в скобках

2.  2,25*(то что в скобках)

3. 8 1/3:3 1/3

4.вычесть из первой части примера вторую

Пошаговое объяснение

Вас заинтересует