• Предмет: Алгебра
  • Автор: kshiller00
  • Вопрос задан 3 года назад

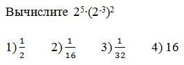
СРОЧНО НУЖНО СДАТЬ ДО 12:00 помогите пожалуйста

Приложения:

Ответы

Ответ дал: Gigom
0

Ответ: 1)

Объяснение:

Ответ дал: Zhanybek006
0

Ответ:3 .....

Объяснение:

Вас заинтересует