Ответы
Ответ дал:
1
Ответ:
(2 * х + 1)* (х - 1) > 9;
Раскрываем скобки. Для этого каждые значения в первой скобке, умножаем на каждое значение во второй скобке, и складываем их в соответствии с их знаками. Тогда получаем:
2 * x ^ 2 - 2 * x + 1 * x - 1 > 9;
Перенесем все значения выражения на одну сторону.
2 * x ^ 2 - x - 1 - 9 > 0;
2 * x ^ 2 - x - 10 > 0;
2 * x ^ 2 - x - 10 = 0;
D = b ^ 2 - 4 * a * c = 1 - 4 * 2 * (- 10) = 1 + 80 = 81;
x1 = (1 + 9)/(2 * 2) = 10/4 = 5/2 = 2,5;
x2 = (1 - 9)/(2 * 2) = - 8/4 = - 2;
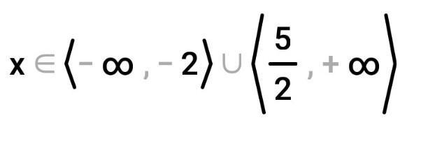
Отсюда, x < - 2 и x > 2,5.
Пошаговое объяснение:
Ответ дал:
1
(2х+1)(х-1)>9
2х² - 2 х - 1 >9
2х²-х-1 >9
2х²-х-1- 9 >0
2х² +4х-5х -10 >0
2х × (х +2) - 5 (х+2) > 0
(х+2) × (2х -5) >0
{х+2 >0
2х -5 >0
{х +2<0
2х-5 < 0
Приложения:

Вас заинтересует
2 года назад
2 года назад
2 года назад
7 лет назад
7 лет назад
9 лет назад