Ответы
Ответ дал:
0
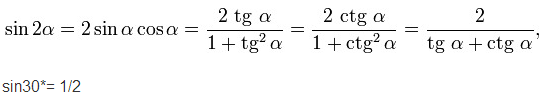
sin 15*2( по формуле двойного аргумента)=sin 30=1/2
Приложения:

Вас заинтересует
2 года назад
2 года назад
8 лет назад
8 лет назад
10 лет назад
10 лет назад