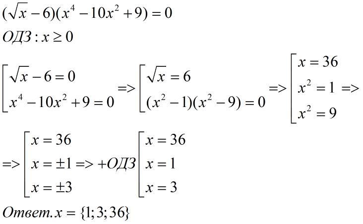
решить уравнение (√x-6)(x^4-10x^2+9)
stanmat:
Решить уравнение? А что чему равно?
Ответы
Ответ дал:
0
Допустим там должно было быть =0
Приложения:

Вас заинтересует
2 года назад
2 года назад
2 года назад
9 лет назад
9 лет назад