• Предмет: Алгебра
  • Автор: morozovakarina007
  • Вопрос задан 3 года назад

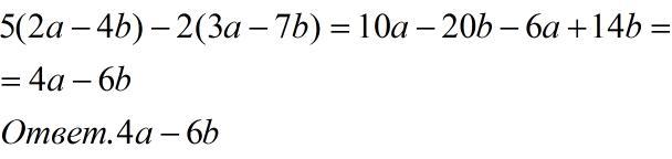
5×(2а-4в)-2(3а-7в) раскройте скобки и приведите подобные слагаемые.с решением !!
20 БАЛЛОВ​

Ответы

Ответ дал: stanmat
1

............................................................................................................

Приложения:
Вас заинтересует