Ответы
Ответ дал:
1
Ответ:
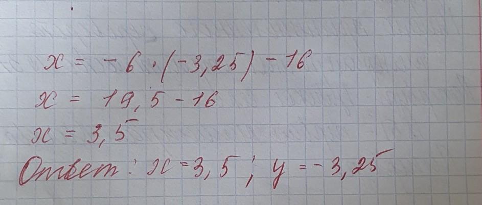
х=3,5 у=-3,25
ОЧЕНЬ подробное решение на фото
Приложения:


Вас заинтересует
2 года назад
2 года назад
2 года назад
7 лет назад
7 лет назад