• Предмет: Математика
  • Автор: sashanaikova20
  • Вопрос задан 3 года назад

Даю 25 баллов СРОЧНО ПОМОГИТЕ
Решите хотя бы что нибудь ​

Приложения:

Ответы

Ответ дал: bbb1898
0

Ответ:

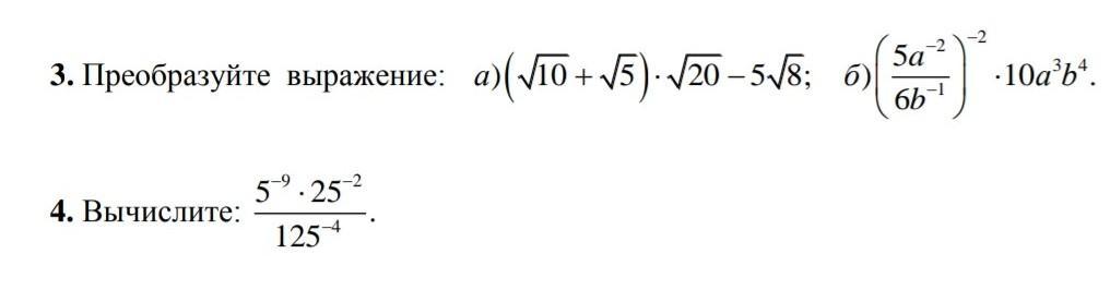
3)  a)

(\sqrt{10}+\sqrt{5})  *2\sqrt{5}-10\sqrt{2}= 2\sqrt{50}+10-10\sqrt{2}=10\sqrt{2}+10-10\sqrt{2}=10\\

b)

\frac{72a^{7}b^{2}  }{5}

4)  0.2


sashanaikova20: а можно пошаговое действие как ты решал
Вас заинтересует