• Предмет: Алгебра
  • Автор: maslovapolina086
  • Вопрос задан 3 года назад

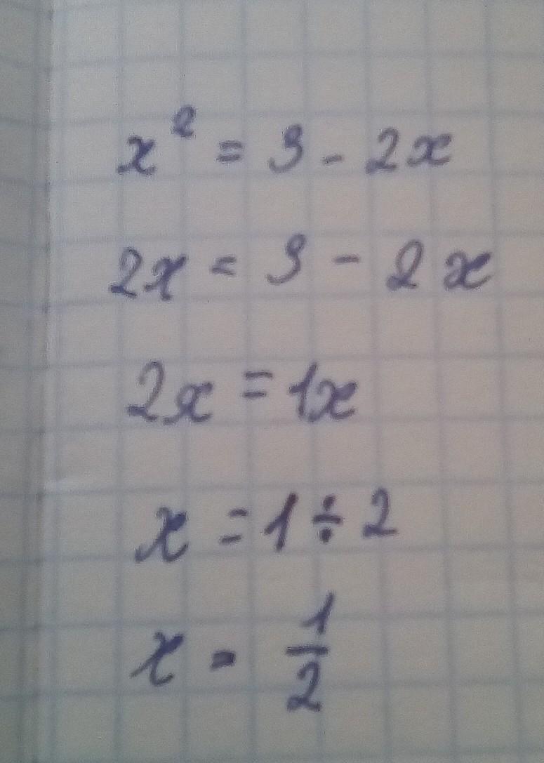
решите графически уравнениия x в квадрате =3-2x​

Ответы

Ответ дал: nicolaeguta
0

ответ в приложенном фото

Приложения:
Вас заинтересует