Ответы
Ответ дал:
0
Ответ:
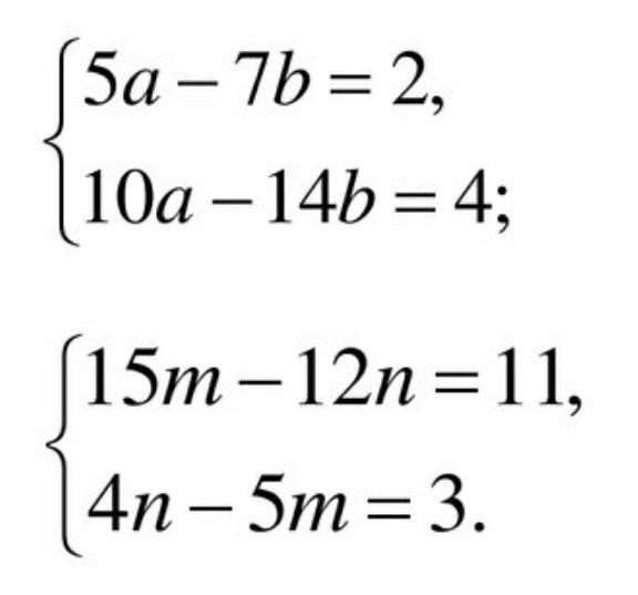
1)Система имеет бесконечно много решений.
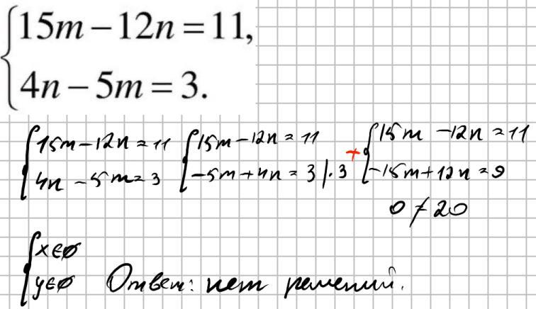
2)Система не имеет решения.
Объяснение:
Приложения:


Вас заинтересует
2 года назад
2 года назад
2 года назад
2 года назад
7 лет назад