• Предмет: Алгебра
  • Автор: Tatyerovckiyy
  • Вопрос задан 3 года назад

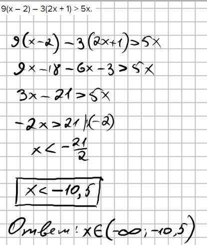
1. Решите неравенство: 9(х – 2) – 3(2х + 1) > 5х.
Срочно пожалуйста!

Ответы

Ответ дал: Ilyazov45
0

Ответ:

x∈(-∞;-10,5)

Объяснение:

Приложения:
Ответ дал: vityamath
0

Решение на фоторафии !!!!!!

Приложения:
Вас заинтересует