• Предмет: Математика
  • Автор: From9Class
  • Вопрос задан 3 года назад

Помогите решить. Математика

Приложения:

Ответы

Ответ дал: cooolery
1

Ответ:

71

Пошаговое объяснение:

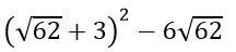
(\sqrt{62}+3)^{2} -6\sqrt{62}=(\sqrt{62}+3)*(\sqrt{62}+3)-6\sqrt{62}=\sqrt{3844}+6\sqrt{62}+9-6\sqrt{62}=62+9=71


From9Class: Спасибо. Если знаете, то напишите ещё 1 задачу https://znanija.com/task/37301617
Вас заинтересует