Ответы
Ответ дал:
0
Ответ:
Пошаговое объяснение:
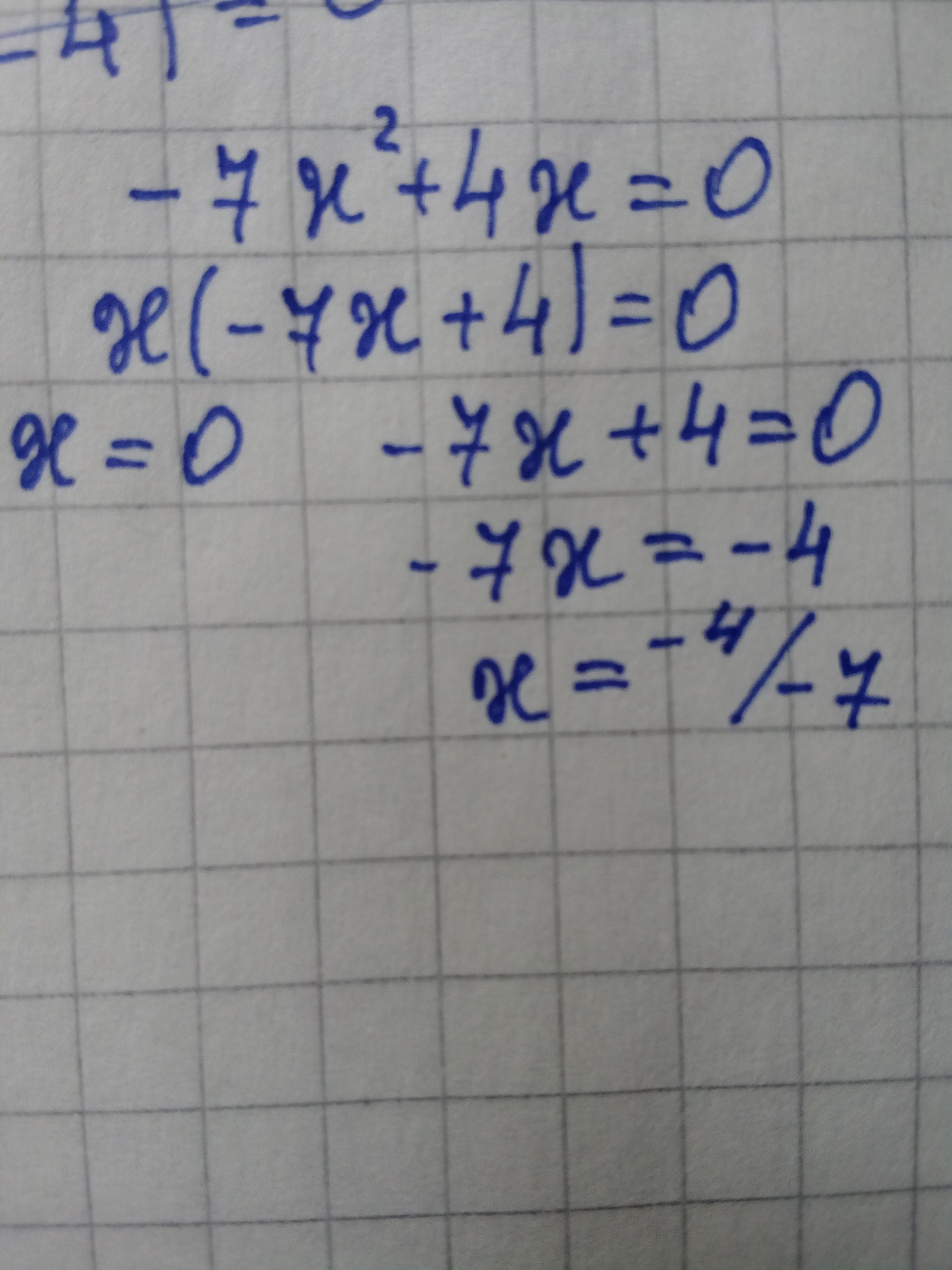
-7x²+4x=0
х*(-7х+4)=0
х=0 или -7х+4=0
-7х=-4
х= 4/7
Ответ дал:
0
Ответ:
Пошаговое объяснение:
Приложения:

Вас заинтересует
2 года назад
2 года назад
2 года назад
2 года назад
7 лет назад
9 лет назад