• Предмет: Химия
  • Автор: ulasha3456
  • Вопрос задан 3 года назад

Закончить уравнения, расставить коэффициенты. Если реакция идти не может, пояснить, почему. Записать первое уравнение в сокращенном ионном виде.
1) Mg(NO3)2 + Li2CO3= 2) CaBr2 + BaI2 = 3) NH4Br + AgNO3 =

Ответы

Ответ дал: Николай1582
1

Ответ:

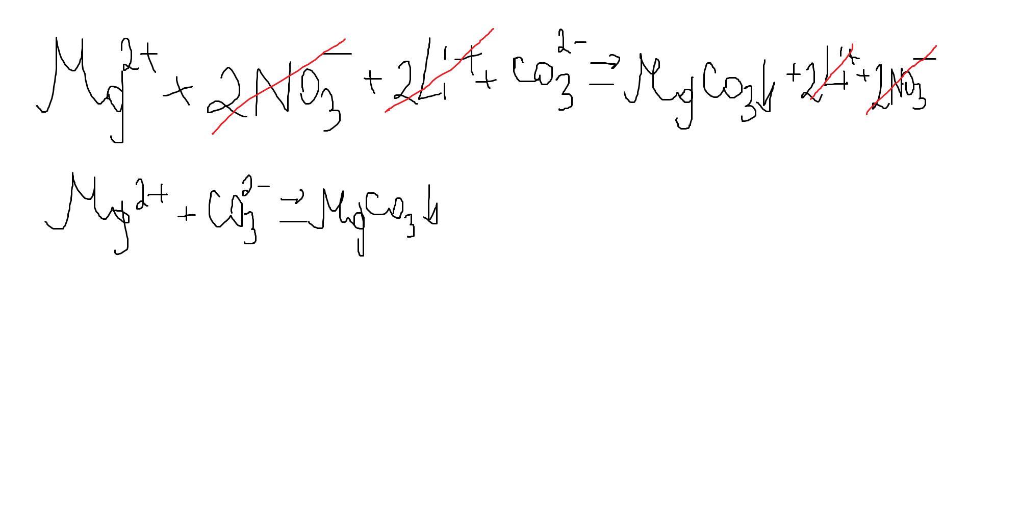
1) Mg(NO3)2 + Li2CO3=MgCO3↓+2LiNO3

В полном и сокращённом ионном виде смотри в файле!

2) CaBr2 + BaI2 = реакция не идёт, так как не образуется осадок, газ или вода H2O

3) NH4Br+AgNO3=AgBr↓+NH4NO3

Отметь мой ответ лучшим, пожалуйста!

Приложения:
Вас заинтересует