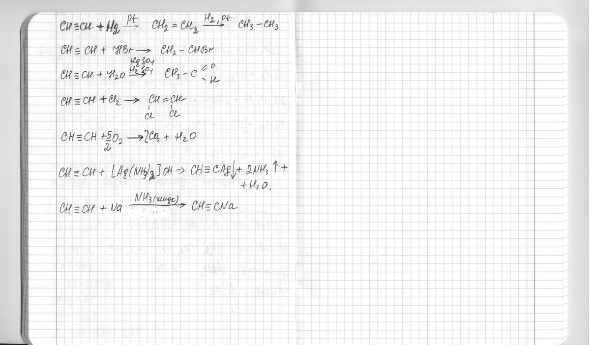
помогите пожалуйста). выберите вещества, с которыми взаимодействует ацетилен: натрий, хлорид калия, аммиачный раствор оксида серебра( 1) водород, бромоводород, гидроксид цинка, вода, хлор, кислород.
Составьте уравнения возможных реакций.
Ответы
Ответ дал:
0
амм. р-р оксида серебра
натрий
водород
бромоводород
вода
хлор
кислород
натрий
водород
бромоводород
вода
хлор
кислород
Приложения:
Вас заинтересует
3 года назад
3 года назад
8 лет назад
11 лет назад
11 лет назад