• Предмет: Математика
  • Автор: xacsws
  • Вопрос задан 3 года назад

Вычислить: 6²−2² пожалуйста

Ответы

Ответ дал: tamarasova
1

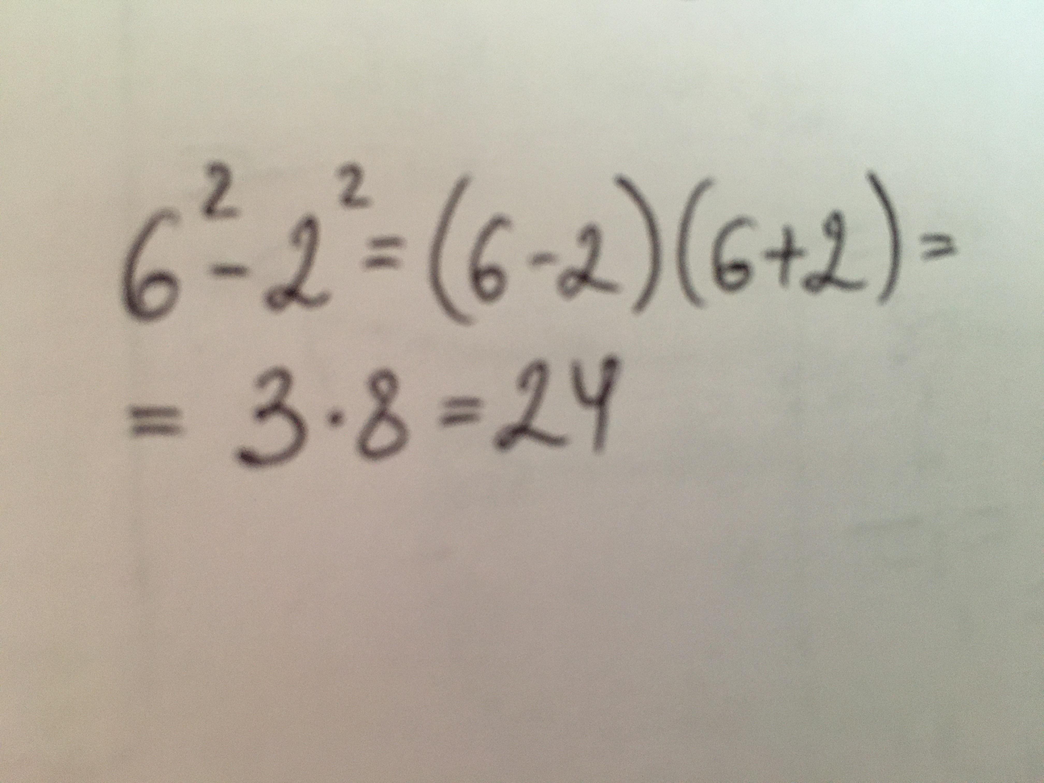
Ответ:

Решение в приложении

Пошаговое объяснение:

Используется формула: разница квадратов

Приложения:
Вас заинтересует