Помогите пожалуйста даю 15 балов
Розв'яжіть методом додавання систему рівннянь
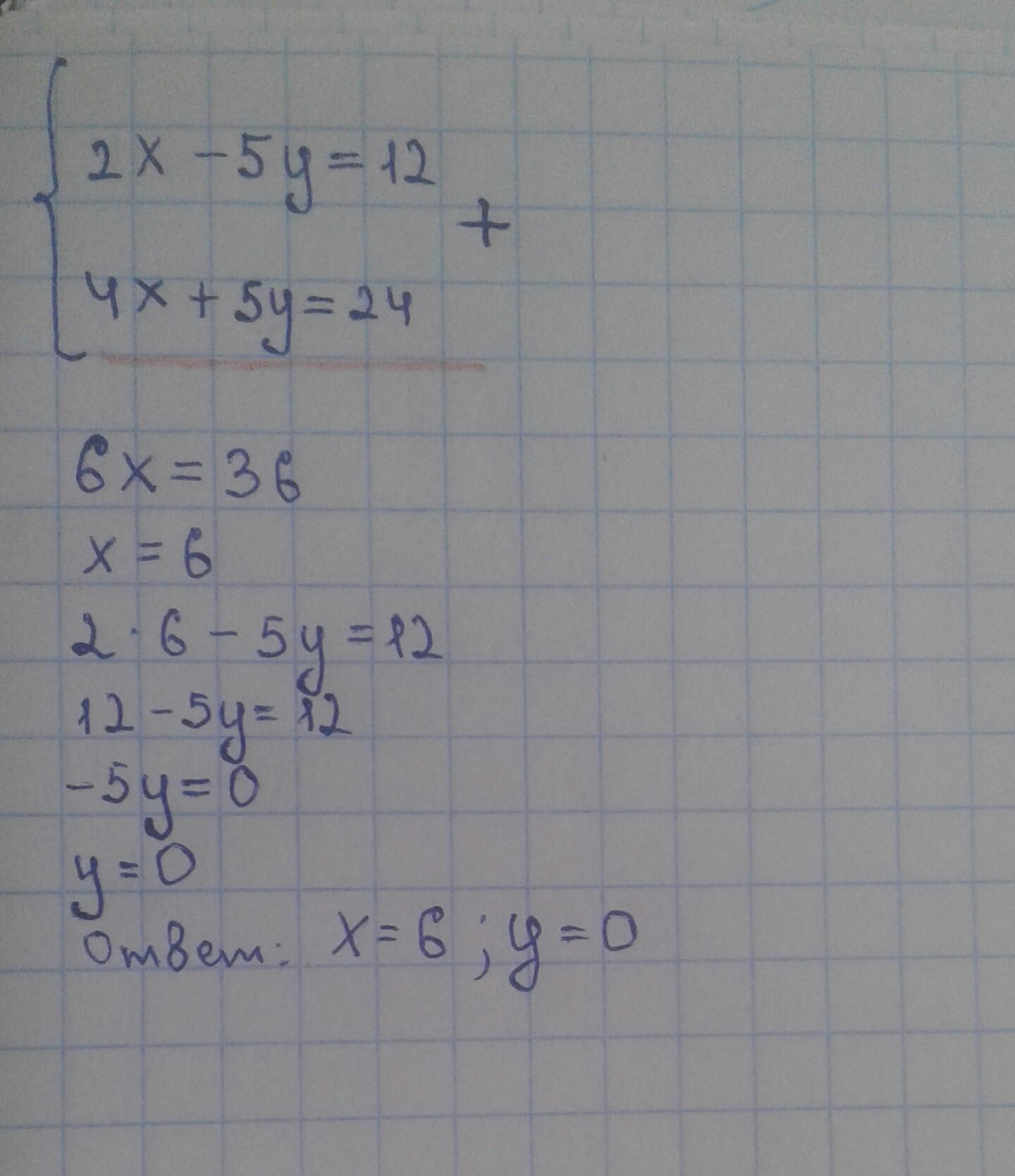
2x-5y=12
4x+5y=24
Ответы
Ответ дал:
2
Ответ:
Объяснение:
на здоровье)))))
Приложения:

Scorp966:
Спасибо
Вас заинтересует
2 года назад
2 года назад
2 года назад
2 года назад
7 лет назад
7 лет назад
9 лет назад