• Предмет: Алгебра
  • Автор: Drellka
  • Вопрос задан 3 года назад

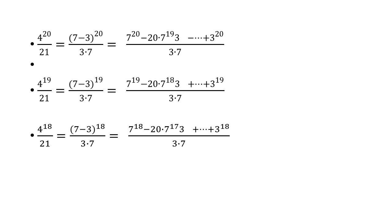
Докажите, что 4 ^20 , 4^19 ,4^18 делится на 21.

Ответы

Ответ дал: afet74
0

Ответ:

Объяснение:

Выражение кратно числу, когда каждый член выражение делится на это число

Приложения:
Вас заинтересует