Ответы
Ответ дал:
2
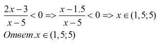
Очевидно находится промежуток, между нулями знаменателем и числителем
Приложения:

Вас заинтересует
2 года назад
2 года назад
2 года назад
2 года назад
7 лет назад
7 лет назад
9 лет назад
9 лет назад