• Предмет: Математика
  • Автор: layma45
  • Вопрос задан 3 года назад

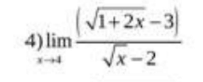
Помогите пожалуйста решить задачу!вычислить пределы функций:

Приложения:

Ответы

Ответ дал: Nakamura1200
0

Ответ:

-2

потомушто только -2 и остаётца

Пошаговое объяснение:

Вас заинтересует